Robert C.Prim

*Nació en el año 1921 en Sweetwater,Estados Unidos.
*Matemático y científico de la computación.
*En 1941 se licenció en ingeniería eléctrica en la universidad de Princeton.
*Trabajó en dicha universidad desde 1948 hasta 1949 como investigador asociado.
*En los laboratorios Bell,trabajó como director de investigación matemática desde 1958 hasta 1961. Alli Prim desarrollo el conocido algoritmo de Prim que junto a su compañero Joseph Kruskal desarrollo dos algoritmos diferentes para encontrar los árboles abarcadores mínimos en un grafo ponderado.
Algoritmo de Prim
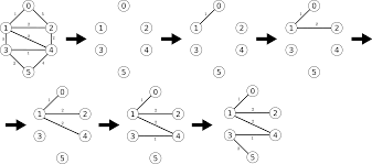
Es un algoritmo perteneciente a la teoría de grafos para encontrar un árbol recubridor mínimo en un grafo conexo, no dirigido y cuyas aristas están etiquetadas.El algoritmo incrementa continuamente el tamaño de un árbol, comenzando por un vértice inicial al que se le van agregando sucesivamente vértices cuya distancia a los anteriores es mínima. Esto significa que en cada paso, las aristas a considerar son aquellas que inciden en vértices que ya pertenecen al árbol.El árbol recubridor mínimo está completamente construido cuando no quedan más vértices por agregar.
Pasos:
1. Se inicia en cualquier nodo
2. Seleccionar la arista de menor costo adyacente al nodo.
3. Se busca la arista de menor costo de los nodos ya analizados adyacente
que no genere circuitos.
INFORMACIÓN
Wikipedia(2010).Robert C.Prim.20 Abril 2015.Wikimedia Fundation.Inc sitio web:
http://es.wikipedia.org/wiki/Robert_C._Prim
Wikipedia(2009).Algoritmo.Prim.20 Abril 2015.Wikimedia Fundation.Inc sitio web:
http://es.wikipedia.org/wiki/Algoritmo_de_Prim
IMAGEN
Robert C.Prim recuperado de:
https://www.google.com.mx/search?q=Robert+C+prim
Algoritmo de Prim recuperado de:
https://www.google.com.mx/search?q=Algoritmo+de+Robert+C+prim